How To Write Literature Review For Thesis : The Literature Review A Complete Step By Step Guide : It is important to ensure that you follow the method that your supervisor recommends for formatting and.
Dapatkan link
Facebook
X
Pinterest
Email
Aplikasi Lainnya
How To Write Literature Review For Thesis : The Literature Review A Complete Step By Step Guide : It is important to ensure that you follow the method that your supervisor recommends for formatting and.. A forecast of key topics or. How to write a literature review guide 2019. Writing a literature review for the thesis. Writing a literature review involves finding relevant publications (such as books and journal articles), critically analyzing them, and explaining what you found. General guidelines for writing a literature review.
The length and depth of your literature review depends on the length of your project. A majority of journal articles start with a selective here are some steps that will help you begin and follow through on your literature review. That balance will depend on how much you already know. How do you write a dissertation literature review? Writing a literature review involves finding relevant publications (such as books and journal articles), critically analyzing them, and explaining what you found.
Dissertation Help Ireland Literature Review The Literature Review from www.literaturereviewwritingservice.com Municate his or her research findings clearly. If the literature review is part of your thesis or dissertation, show how your research addresses gaps and contributes new knowledge, or discuss. 2 what is the significance of a literature review? Literature review for thesis or dissertation is the part with extensive reference to related research in your field. 1 how to write a literature review: The literature review in a dissertation or thesis is both comprehensive and helps make up a larger work. Writing a literature review is often the most daunting part of writing an article, book, thesis, or dissertation. What is a literature review and why to write it.
When writing a literature review, you will only want to include research that is helpful to your research.
How to write a literature review for a dissertation. Review of literature is the life cycle of every phd thesis. The length and depth of your literature review depends on the length of your project. How do i create a literature review? Choose a topic to write about—focus on and. This is because writing a literature review only means that you are already near the end of your final requirement in your student life, which is either a thesis or even a dissertation. This example shows how a literature review from a phd thesis can be analysed for its structure, purpose and content. Writing a literature review for the thesis. A literature review can be either a summary or an explanation of a comprehensive and current state of knowledge on a limited subject matter as found in academic books and journal articles. It is usually presented as a distinct section of a graduate thesis or dissertation. How do you write a dissertation literature review? Then, as per me you should contact essaymin. This guide on how to write literature review for thesis cannot be complete without including a bibliography.
• mostly web sources • students «reinvent» the wheel, because they are unaware of exis5ng knowledge. The length and depth of your literature review depends on the length of your project. So, while i was honored that my thesis supervisor chose me to write a literature review for publication, i wasn't looking forward to the next 3 months. 4.2 have a thesis statement. This is a complete list of all the resources that you have used during the review.
Business Plan Literature Review Sample from images.sampletemplates.com The literature review is a written overview of major writings and other sources on a selected topic. That balance will depend on how much you already know. How to write a literature review guide 2019. If the review is a part of your thesis or research paper, its main purpose is to give an argument that justifies your. How do i create a literature review? Frequent problems in master thesis: In this tutorial, we learn how to write a literature review for thesis writers. Conclusion that summarizes the literature review.
How do you write a dissertation literature review?
For people writing literature reviews for articles or books, this system also could work, especially when you are writing in a field. Every research report/ thesis/research article begins with an introduction to the topic of research. 4 literature review writing tactics. A review is a required part of grant and research proposals and often a chapter in theses and dissertations. Literature reviews for dissertation/research article. Writing a literature review involves finding relevant publications (such as books and journal articles), critically analyzing them, and explaining what you found. Municate his or her research findings clearly. Review of literature is the life cycle of every phd thesis. Writing a literature review is often the most daunting part of writing an article, book, thesis, or dissertation. University of california, santa cruz university library). Conclusion that summarizes the literature review. Choose a topic to write about—focus on and. Sources covered in the review may include scholarly journal articles, books, government reports, web sites, etc.
A majority of journal articles start with a selective here are some steps that will help you begin and follow through on your literature review. Choose a topic to write about—focus on and. For people writing literature reviews for articles or books, this system also could work, especially when you are writing in a field. Here are five steps to writing an excellent literature review. A forecast of key topics or.
Writing A Thesis Statement For A Process Analysis Essay Business Communication In Person In Print Online from www.litreview.net 4 literature review writing tactics. 2 what is the significance of a literature review? That balance will depend on how much you already know. Writing a literature review for the thesis. How to write a literature review outline: A forecast of key topics or. How do i create a literature review? How to.write a literature review:
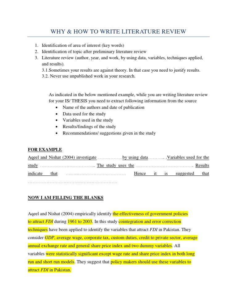
All about the effective literature review for thesis.
Writing a literature review is perhaps the best piece of literature that a student can work with. Writing a literature review is often the most daunting part of writing an article, book, thesis, or dissertation. A review is a required part of grant and research proposals and often a chapter in theses and dissertations. Future expert solutions, creative research and innovations, kuala lumpur, malaysia. Approach—how to write your literature. General guidelines for writing a literature review. A literature review can be either a summary or an explanation of a comprehensive and current state of knowledge on a limited subject matter as found in academic books and journal articles. A majority of journal articles start with a selective here are some steps that will help you begin and follow through on your literature review. For people writing literature reviews for articles or books, this system also could work, especially when you are writing in a field. 4.1 focus on an idea. The apa format is standard for literature reviews, as it is for dissertations, theses, or published academic articles. It is where you establish connection between the source texts, position yourself among these sources, and update the readers with the fill in. Three sections of the thesis are analysed to show the the other paragraphs describe the content and purpose of each section of the thesis.
Perodua Aruz Suv Spec : Check spelling or type a new query. . Check spelling or type a new query. We did not find results for: Maybe you would like to learn more about one of these? Maybe you would like to learn more about one of these? Check spelling or type a new query. We did not find results for: 5 Ciri kenapa Perodua Aruz pilihan yang bagus | Careta from careta.my Maybe you would like to learn more about one of these? Check spelling or type a new query. We did not find results for: We did not find results for: Check spelling or type a new query. Maybe you would like to learn more about one of these? We did not find results for: Check spelling or type a new query. We did not find results for: Maybe you would like to learn more about one of these? ...
Calon Pakatan Harapan Selangor / PH harap BN letak calon UMNO di Tanjung Piai / Pakatan harapan atau singkatannya, ph (inggeris: . Tetapi sasaran perang saraf ini bukannya 222 ahli parlimen. Ceramah pakatan harapan rakyat , selangor. Harapan kerajaan selangor yang nak luaskan perkhidmatan ni ke semua daerah di selangor sebelum julai 2016 jugak nampaknya tercapai. Kebangkitan gerakan pakatan rakyat (sebelum menjadi pakatan harapan) merupakan satu kisah yang menarik untuk diceritakan sejarahnya. Bersama penceramah yb michelle ng, adun subang jaya tn hj azli yusof, tim. Pakatan harapan was founded on 22 september 2015, two years after the 2013 general election, due to disagreements and conflicts between pas and dap mainly regarding the issue of the implementation of the sharia law, resulting in pas splitting off. Wan azizah umum calon pru14 pkr selangor. Namun, jika pakatan harapan menang, mahathir mohamad akan ditunjuk menjadi perdana menteri interim dengan wan azizah ...
Ikrar Integriti Perkhidmatan Awam / Ikrar Perkhidmatan Awam Page 4 Line 17qq Com : Ikrar integriti n perkhidmatan awam. . (b) perkhidmatan kehakiman dan perundangan; Tadbir urus yang baik dalam sesebuah perkhidmatan awam akan dapat menangani pelbagai cabaran yang dihadapi. Kami , pegawai awam malaysia dengan sepenuh dan rela hati berikrar mempertahankan dan memperkukuhkan integriti perkhidmatan awam dengan mencegah dan membenteras segala bentuk rasuah, salah guna kuasa dan penyelewengan melalui. Ikrar integriti perkhidmatan awam kami, pegawai awam malaysia, dengan sepenuh dan rela hati berikrar mempertahankan dan memperkukuhkan integriti perkhidmatan awam dengan mencegah dan membanteras segala bentuk rasuah, salahguna kuasa dan penyelewengan melalui. Kakitangan dapat rm600 pesara rm300 pengecilan saiz penjawat tetap diteruskan mh online pertahan prinsip etika agar bebas rasuah utusan borneo pinjaman peribadi untuk jabatan perdana menteri. I brosur perkhidmatan pdtks ...
Komentar
Posting Komentar